| 在分析和計算由三相電源、三相負裁(也可能有單相負、以及連接這些電源和負超酌導線所組成的三相電路徑常要用到相、線電壓和相、線電流的概念,撓分述如為了解其概念,先介紹幾個常用術語 端線(俗稱火線)——連接電源和負載各相端點的導線,稱為端線。 中點(中性點)——三相電源中三個繞組末端,也可以是三個繞組首端)的連接點,稱為三相電源中點或中性點,三相負載星形連接點,稱為負載的中點或中性點。 中線——連接電源中點和負載中點的導線, 稱為中線(有時以大地作為中線,此時中線又稱為地線) 線電壓——端線之間的電壓稱為線電壓。 相電壓——每相繞組或每相負載上的電壓,稱為相電壓。
線電流——流過端線的電流稱為線電流。 相電流——流過各相繞組或各相負載的電流稱為相電流。
下面討論電源和負載的兩種連接方式,即星形連接和三角形連接時的相、線電壓和相、線電流之間的關系。
1.星形連接(丫連接) 如圖1所示:

圖1
圖中UAB、UBC、UCA為線電壓,UAN、UBN、UCN為相電壓;N為電源中性點,N'為負載中性點,NN'連線稱為中線。

圖2
星形連接時,電源的線電壓與相電壓的相量圖如圖2。從相量圖上可看出,線電壓導前相電壓30°電角度,即UAB導前UAN30°,UBC導前UBN30°,UCA導前UCN30°。
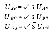
當星形電源各相電動勢對稱時,線電壓也是對稱的,彼此間相位差為120°。從數量關系來看,線電壓有效值是相電壓有效值的 倍。即:

星形連接時,線電流等于相電流。
2. 三角形連接(Δ連接) 如圖3所示:

圖3
三角形連接時,相電壓等于線電壓。 線電流滯后相電流30°,即:
IA 滯后 IAB30°; IB 滯后于 IBC30°; IC 滯后 ICA30°。 相量關系如圖4:

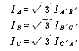
從數量關系看,線電流有效值等于相電流有效值的 倍。即:

3.三相電路的功率 在三相對稱電路中,不論那種連接方式都是:

|